發布日期:2025-8-26 20:20:48
隨著對航空飛行器大推重比與高飛行馬赫數的不斷追求,航空關重結構件趨于輕量化、高強化發展。由于鈦基復合材料具有優于鈦合金的強度、比強度以及高溫強度性能,被認為是重要的下一代航空材料。然而,高硬度、高強度增強相 (微納米顆粒或纖維) 在強化鈦基復合材料的同時,也會損失其塑韌性,這對具有高服役安全性的航空領域而言是不可忽視的缺陷。因此,鈦基復合材料的強韌性匹配與調和成為近年來的研究熱點之一 [1-2]
原位自生鈦基復合材料是利用前驅體與 Ti 的反應,在復合材料制備過程中形成增強顆粒,顆粒與鈦合金基體的界面通過化學反應形成冶金結合,因此與外加顆粒增強鈦基復合材料相比,顆粒的強化效果更為優異,塑韌性保持度也更高。目前鈦基復合材料的原位反應研究較為廣泛,已發展出 Ti₂B-TiB [3-4]、石墨 / 石墨烯 - TiC [5-6]、Re-ReO 等多種成熟體系。在原位自生法鈦基復合材料的基礎上,研究者發現將增強相的分布特征進行特定構型的設計,可實現有針對性的強度或韌性調控。大量研究表明,復合材料中增強相呈不均勻分布時,形成 "富增強相" 與 "貧增強相" 兩種局部特征區域,能夠分別發揮強化與韌化的作用,據此開發出多種非均勻構型的鈦基復合材料,如非連續網狀結構、層狀結構、多級多尺度結構等,在強度獲得顯著提高的同時,塑韌性趨近甚至超越基體鈦合金材料,從而使綜合力學性能突破了增強相均勻分布的鈦基復合材料的強度 - 塑性倒置關系。如 Li 等 [9] 采用 AlB₂為前驅體所制備的非連續網狀 1% TiB/Ti (體積分數) 復合材料,屈服強度與斷后伸長率分別達到了 567 MPa 與 13%, 均優于基體材料,實現了強度 - 韌性的同步增強。然而,由于均勻構型與非均勻構型鈦基復合材料的制備工藝存在差異,如前者通常采用熔鑄法或高能球磨結合粉末冶金方法,后者多采用低能球磨結合粉末冶金方法 [12], 影響復合材料力學性能的因素較多,因此在前述工作中,多采用理論模型解釋增強相構型的強韌化作用,強韌化機制有待進一步明確。
在前期研究中,采用 Ti₃SiC₂作為前驅體成功獲得了原位 TiC 顆粒增強的鈦基復合材料,同時發現 Ti₃SiC₂所反應生成的 TiC 顆粒具有均勻分布顆粒特征,而結合現有研究,采用石墨粉為前驅體制備 TiC 增強鈦基復合材料中的 TiC 通常形成團聚體,表現為非均勻分布特征。因此本文通過選用不同的原位反應體系,分別采用 Ti₃SiC₂+Si 以及 Si + 石墨作為前驅體,設計出增強顆粒呈均勻分布與非均勻分布兩種類型的 (TiC+Ti₅Si₃)/Ti 復合材料,通過排除制備工藝的影響,定性化研究增強相構型特征對鈦基復合材料強度與塑韌性的改善機制。
1、實驗材料與方法
1.1 原材料
研究采用球形 TA1 粉末 (純度> 99.5%, 質量分數,下同,粒度 300 目,西安歐科技有限公司)、Ti₃SiC₂粉末 (純度 > 98%, 粒度 300 目,北京福斯曼科技有限公司)、Si 粉 (純度 > 99%, 粒度 5000 目,天津鑫耐金屬材料有限公司)、石墨粉 (純度 > 99%, 粒度 5000 目,輝風化工有限責任公司) 作為原材料。TA1 粉、Ti₃SiC₂粉、Si 粉以及石墨粉的形貌如圖 1a-d 所示。

1.2 制備方法
(1) 球磨混粉:將 TA1 粉、Ti₃SiC₂粉、Si 粉或 TA1 粉、Si 粉、石墨粉按比例進行稱重后進行干式球磨混粉。為消除前驅體的團聚,采用兩步法進行球磨:首先將 Ti₃SiC₂粉 - Si 粉或 Si 粉 - 石墨粉進行球磨,球料比為 20:1, 轉速 400 r/min, 球磨時間 10h; 第一步球磨結束后,直接向球磨罐中加入 TA1 粉,并補充磨球質量至球料比 5:1, 在轉速 200 r/min 條件下球磨 10h, 獲得混合粉體。為避免金屬粉在球磨過程中氧化,向球磨罐中通入氬氣進行保護,球料篩分過程在真空手套箱中進行。(2) 復合材料燒結:采用真空熱壓燒結工藝制備 (TiC+Ti₅Si₃)/Ti 復合材料,工藝參數為:燒結溫度 1200℃, 保溫時間 1h, 真空度 1×10⁻²Pa 以上。為了避免石墨模具中的 C 擴散造成樣品粘連,預先在模具型腔內均勻噴涂 BN 脫模劑。
1.3 表征分析
按照標準金相試樣制備方法,用電火花線切割從燒結試樣中取出樣品,先后通過 240#、600#、1000#、2000# 耐水砂紙打磨平整,使用二氧化硅懸濁液進行拋光,最后置于酒精溶液中超聲清洗并吹干。使用 Kroll 溶液 (200 mL H₂O、20mL HF 和 40mL HNO₃配置而成) 腐蝕 5~7s, 獲得用于微觀表征的樣品。采用掃描電子顯微鏡 (HITACHI SU3500) 進行樣品的顯微組織觀察,采用 X 射線衍射儀 (Bruker D8 Advance) 進行樣品的物相分析,采用能譜儀 (Oxford X-max 50) 進行樣品中元素含量及分布的定性分析。
1.4 力學性能測試
根據國標 GB/T 7314, 使用萬能試驗機 (MTS CMT5305) 進行復合材料的室溫壓縮力學性能測試,壓縮速率為 0.5mm/min, 壓縮樣品尺寸為 Φ5mm×12mm, 為了減少實驗誤差,對同一成分樣品進行 5 次重復實驗取平均值。
2、實驗結果及討論
2.1 (TiC+Ti₅Si₃)/Ti 復合材料物相組成分析
分別以 Ti₃SiC₂粉 - Si 粉與 Si 粉 - 石墨粉為前驅體制備 (TiC+Ti₅Si₃)/Ti 復合材料,其中 TiC 顆粒與 Ti₅Si₃顆粒的名義總含量為 10%(體積分數), 顆粒比例分別為 6:4、5:5 以及 4:6, 對應的試樣編號如表 1 所示。
表 1 試樣成分設計
Tab.1 Composition design for the samples
| No. | TA1 | Si | C | Ti₃SiC₂ | 增強相組成 |
| TSC-4:6 | 94.22 | - | - | - | 4% TiC+6% Ti₅Si₃ |
| TSC-5:5 | 93.47 | 0.41 | - | - | 5% TiC+5% Ti₅Si₃ |
| TSC-6:4 | 92.68 | - | - | 7.32 | 6% TiC+4% Ti₅Si₃ |
| SC-4:6 | 97.60 | 1.54 | - | - | 4% TiC+6% Ti₅Si₃ |
| SC-5:5 | 97.65 | - | 1.07 | - | 5% TiC+5% Ti₅Si₃ |
| SC-6:4 | 97.70 | 1.02 | 1.28 | - | 6% TiC+4% Ti₅Si₃ |
圖 2 是分別以 Ti₃SiC₂粉 - Si 粉 (TSC 組) 和 Si 粉 - 石墨粉 (SC 組) 為增強顆粒前驅體的鈦基復合材料 XRD 衍射圖。在 TSC-4:6、TSC-5:5、TSC-6:4 以及 SC-6:4 樣品中均檢測到明顯的 α-Ti 衍射峰,表明 (TiC+Ti₅Si₃)/Ti 復合材料的基體組織為 α-Ti 相。同時,在 XRD 衍射圖譜中均存在 TiC 與 Ti₅Si₃衍射峰,說明在燒結過程中前驅體 Ti₃SiC₂發生了分解反應生成 TiC 顆粒,Si 元素及添加 Si 粉與 Ti 反應生成了 Ti₅Si₃顆粒,如公式 (1) 和 (2), 這與之前的研究結果一致;

另外,在 SC 組中,石墨粉與 Si 粉分別于 Ti 反應生成了 TiC 顆粒與 Ti₅Si₃顆粒。在 XRD 圖中還觀察到,SC 組與 TSC 組燒結試樣中的 α-Ti 衍射峰均向更高角度偏移 (圖中虛線為標準 α-Ti 衍射峰,參考 ICSD44-1294), 這是由于復合材料中加入的 Si 原子以置換固溶的方式固溶于基體 α-Ti 晶格結構中,由于摻雜的 Si 原子半徑小于 Ti 原子,隨著晶格中固溶的 Si 原子量增多,α-Ti 的晶格常數逐漸降低,導致 α-Ti 衍射峰向右偏移。當基體中固溶的 Si 原子量達到飽和后,復合材料中析出 Ti₅Si₃顆粒,而 TSC 組和 SC 組混合粉末在 1200℃下制得的燒結試樣中均檢測到了 Ti₅Si₃峰,說明對于此時的 TSC 組與 SC 組燒結試樣,Ti 晶格中的 Si 原子固溶量均已達到飽和,因此 TSC 組、SC 組燒結試樣中 α-Ti 衍射峰均向右偏移且偏移程度相同。通過上述對 TSC 組與 SC 組 (TiC+Ti₅Si₃)/Ti 復合材料的 XRD 分析,初步確定了兩組復合材料中均含有 TiC 顆粒與 Ti₅Si₃顆粒。由于兩組樣品的成分均是通過定量化計算進行配比,可以認為其物相種類、含量均相同。

2.2 前驅體對增強顆粒分布規律的影響
以 Ti₃SiC₂粉 / Si 粉為前驅體制備的 TSC 組粉體,和以石墨粉 / Si 粉為前驅體制備的 SC 組粉體均在 1200℃燒結工藝下獲得了 (TiC+Ti₅Si₃)/Ti 復合材料,兩組試樣的微觀組織不同,且隨著 TiC:Ti₅Si₃增強相比例變化,表現出不同的組織變化規律。如圖 3a~c 為 TSC 組復合材料的 SEM 形貌圖,當增強顆粒 TiC:Ti₅Si₃比例發生改變,分別為 4:6、5:5、6:4 時,其物相構成均為 α-Ti 相、TiC 顆粒以及 Ti₅Si₃顆粒,與 XRD 結果相符。其中,微米 TiC 顆粒呈近等軸狀,孤立分布于基體晶界處或晶粒內部,基體中彌散分布的 TiC 顆粒構成了非連續網狀結構。此外,從圖中還可看到,除等軸狀 TiC 顆粒外,還有一些細小的蠕蟲狀顆粒,結合 XRD 分析,可確認這些蠕蟲狀小顆粒是 Ti₅Si₃。蠕蟲狀 Ti₅Si₃顆粒主要分布于基體晶粒內,隨著復合材料中加入 Si 元素增多,晶內 Ti₅Si₃顆粒數量增多。圖 3d~f 是 SC 組復合材料的 SEM 形貌圖,可明顯觀察到等軸狀 α-Ti 基體組織與晶界顆粒團聚體,結合 XRD 分析結果,可確定團聚體由 TiC 顆粒與 Ti₅Si₃顆粒構成。這些團聚顆粒圍繞等軸 α-Ti 晶分布,構成了準連續網狀結構。


將 TSC 與 SC 兩組材料的微觀組織進行對比后可以發現,以 Ti₃SiC₂粉 / Si 粉為前驅體制備的 (TiC+Ti₅Si₃)/Ti 復合材料,增強顆粒的團聚得到了解決,即 TSC 試樣中彌散分布的 TiC 顆粒構成了非連續 - 非均勻增強結構,較好解決了 SC 組中 TiC 團聚問題;蠕蟲狀 Ti₅Si₃顆粒分布在晶內,而非偏聚在 TiC 周圍,兩種顆粒共同組成了近均勻構型。在 TSC 組試樣中,增強相 Ti₅Si₃顆粒與 TiC 顆粒形成了連續、不均勻的分布,為不均勻構型。
2.3 (TiC+Ti₅Si₃)/Ti 復合材料微觀組織演變
分別以 Ti₃SiC₂粉 / Si 粉為前驅體及以石墨粉 / Si 粉為前驅體制備混合粉末,真空熱壓燒結后獲得原位自生顆粒增強的 (TiC+Ti₅Si₃)/Ti 復合材料,兩組復合材料中增強顆粒的分布特征及形貌差別很大,因此有必要探討前驅體 Ti₃SiC₂粉 / Si 粉與石墨粉 / Si 粉對增強顆粒形貌及分布特征的影響,深入分析兩組試樣在燒結過程中的組織演變過程。
在 TSC 組混合粉末中,Ti₃SiC₂發生原位分解反應生成基體中非連續分布的 TiC 顆粒。Gu 等 [15] 對 Ti-Ti₃SiC₂體系的反應進行了研究,發現在 1000℃時 Ti-Ti₃SiC₂體系可通過原位分解反應制得 TiC 顆粒。通過比較 Ti₃SiC₂與 TiC 的晶體結構,如圖 5 所示,研究者認為 Ti₃SiC₂晶胞可看做是兩個密排 Si 原子層連接兩個被共享的八面體 Ti₆C 和一個完整的 Ti₆C。Zhou 等 [16] 通過對比 TiC 與 Ti₃SiC₂晶體結構,發現 Ti₃SiC₂的 (001) 晶面與 TiC 的 (111) 晶面非常相似,如圖 5b 和 c 所示。在 Ti₃SiC₂分解生成 TiC 的過程中,Ti₃SiC₂晶格中較弱的 Ti-Si 鍵斷裂,而較強 Ti-C 鍵不發生斷裂。當 Ti₃SiC₂中周期性排列的 Si 原子層被抽離后,剩下的 Ti₆C 八面體可組合在一起形成有空位缺陷的 TiC。因此,Ti₃SiC₂粉末原位分解生成 TiC 顆粒的實質是周期性排列的 Si 原子的脫出,該轉化過程具有等體積的特征,晶格脫嵌 Si 原子所形成的 TiC 顆粒可以保留 Ti₃SiC₂的形貌與空間分布。
結合以上分析,TSC 復合材料的微觀組織演變過程可以歸納為:均勻包裹在球形 TA1 粉體表面的 Ti₃SiC₂粉末發生分解反應,Ti-Si 鍵斷裂、Ti₃SiC₂晶格中的周期性排列的 Si 原子脫出,并固溶于基體中,原前驅體粉末的晶格結構中剩下鍵合能力較強的 Ti-C 鍵,Ti-C 組成有空位缺陷的 TiC 顆粒。單顆 Ti₃SiC₂顆粒原位分解生成單顆 TiC 顆粒,保留了 Ti₃SiC₂的空間位置,形成非連續分布特征。在熱壓燒結過程中,由于 Ti₃SiC₂晶格中的 Si 原子脫出且 Si 在 α-Ti 基體中具有較高的擴散速率和較大的溶解度,Si 原子在 TA1 基體中得到充分擴散,局部 Si 原子濃度較低但分布較為均勻,最終形成的蠕蟲狀 Ti₅Si₃且多數分布于晶內,其增強相形成過程如圖 6 所示。


Tong 等 [17] 對 Ti-C 反應進行了熱力學和動力學計算,表明 TiC 生成機理主要以溶解 - 析出機制為主;Choi 等 [18] 研究了在合成 TiC 過程中石墨和不定形炭對反應機理、產物形貌等的影響,發現石墨與鈦粉反應活性高、Ti-C 反應完全。低能球磨工藝使得前驅體石墨粉均勻包裹在球形 TA1 粉表面,當燒結溫度達到 1200℃時,Ti-C 界面前沿處 C 原子平衡濃度較高,由于 C 原子在 Ti 基體中固溶度較低,難以發生長程擴散,因而石墨表面易發生 Ti-C 反應生成 TiC 顆粒。根據 Gibbs-Thomson 關系,前驅體顆粒半徑越小,界面前沿固溶的 C 原子平衡濃度越高,因而生成 TiC 顆粒的結晶驅動力越高,因此 SC 組混合粉末易于在石墨表面促進 TiC 顆粒的形核。不規則狀的石墨表面凹凸不平,存在大量界面缺陷,可為 TiC 顆粒的不均勻形核提供形核位點,因此在石墨表面局部位置將生成許多 TiC 晶核。復合材料中石墨粉含量越多則形核位置越多且越接近,空間距離縮短的形核位置導致后續長大過程中相鄰 TiC 體積增加的同時發生顆粒表面接觸,因而 SC 組燒結過程中石墨與 TA1 粉生成團聚狀的 TiC。
均勻包裹在球形 TA1 粉表面的 Si 粉可作為形成 Ti₅Si₃顆粒的前驅體,燒結過程中 Ti-Si 界面前沿處富集大量 Si 原子,由于 Ti₅Si₃優先在能量較高的缺陷位置處形核,如晶界、相界、位錯等處,這些位置畸變大、能量高,而之前的研究證實了 TiC 顆粒可作為 Ti₅Si₃顆粒的異質形核核心 [14], 因而 SC 復合材料中先形成的 TiC 顆粒可促進 Ti₅Si₃顆粒的形核,導致 Ti₅Si₃顆粒偏聚于 TiC 顆粒周圍。根據上述分析,SC 復合材料的微觀組織演變過程如圖 7 所示。

2.4 前驅體對 (TiC+Ti₅Si₃)/Ti 復合材料力學性能的影響
對不同前驅體制備的 (TiC+Ti₅Si₃)/Ti 復合材料進行室溫壓縮測試,圖 8 為復合材料的室溫壓縮曲線,表 2 為室溫壓縮力學性能。比較而言,TSC 復合材料具有高強度、低塑性,SC 組復合材料具有高塑性、低強度。TSC 試樣的屈服強度為 1590~1915MPa, 抗壓強度為 1856~2266MPa, 壓縮斷裂應變為 18%~21%, 隨著 Ti₅Si₃顆粒含量的增加,強度逐漸增大而塑性逐漸降低。SC 試樣的屈服強度為 805~888MPa, 抗壓強度為 1530~1680MPa, 壓縮斷裂應變為 24%~26%, 其力學性能隨 Ti₅Si₃顆粒含量的變化趨勢與 TSC 試樣相同,但變化的幅度明顯更低,說明 SC 試樣中的 Ti₅Si₃顆粒對其性能的影響較小。這是由于 SC 試樣中的 TiC 顆粒與 Ti₅Si₃顆粒組成了團聚體,Ti₅Si₃顆粒的含量變化基本不改變增強顆粒團聚體的尺寸及體積分數,而在 TSC 試樣中,Ti₅Si₃顆粒與 TiC 顆粒呈相對彌散分布,由于 Ti₅Si₃的尺寸更小,強化作用更為明顯,因此強度隨其含量增大而提升。
表 2 TSC 組和 SC 組試樣室溫壓縮力學性能
Tab.2 Room temperature compressive mechanical properties of the TSC and SC composites
| No. | 屈服強度 σₛ/MPa | 抗壓強度 σᵦ/MPa | 斷裂應變 δ/% |
| TSC-4:6 | 1590±92 | 1856±103 | 21±0.5 |
| TSC-5:5 | 1856±55 | 2195±37 | 19±0.1 |
| TSC-6:4 | 1915±68 | 2266±32 | 18±0.2 |
| SC-4:6 | 805±28 | 1530±33 | 26±0.2 |
| SC-5:5 | 880±12 | 1593±61 | 25±0.4 |
| SC-6:4 | 888±28 | 1680±46 | 24±0.3 |

2.5 不同構型 (TiC+Ti₅Si₃)/Ti 復合材料強韌化機制分析
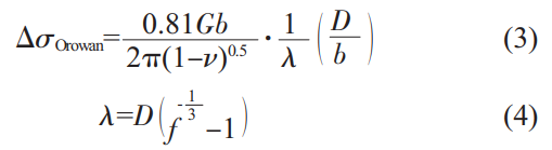
以 Ti₃SiC₂粉 / Si 粉為前驅體制備的 TSC 復合材料中存在相對均勻分布的微米級 TiC 顆粒以及尺寸更小的 Ti₅Si₃顆粒,可充分發揮其強化作用提高復合材料的強度。Orowan 機制是顆粒增強金屬基復合材料的重要強化機制之一,在復合材料的變形過程中,由于增強顆粒的直徑較小且硬度高,位錯無法切過,只能通過繞過機制移動,從而在顆粒附近形成位錯環,對復合材料形成強化效果。Orowan 強化機制可通過下式計算:

式中,G 為剪切模量;b 為柏氏矢量;ν 為泊松比;λ 為顆粒間距;D 為顆粒平均尺寸;f 為增強相體積分數。根據公式,Orowan 強化效果與顆粒間距有關,而顆粒間距又與增強相體積分數、顆粒尺寸有關。當基體中增強顆粒尺寸越小且體積分數越高,顆粒間距越小,復合材料中 Orowan 強化效果越強。
對比不同前驅體所制備的 (TiC+Ti₅Si₃)/Ti 復合材料,Ti₃SiC₂+Si 粉反應生成的 TiC 顆粒與 Ti₅Si₃顆粒較為彌散的分布,能夠充分發揮顆粒的 Orowan 強化機制,因此強度性能更為優異。并且,隨著尺寸更為細小的 Ti₅Si₃顆粒含量的增加,復合材料的強度逐漸增大,與前述規律相符,也進一步說明 Orowan 機制的重要作用。而以石墨粉 / Si 粉為前驅體制得的 SC 組復合材料中存在連續分布的 TiC 顆粒 / Ti₅Si₃顆粒,形成了團聚體,使增強相的等效尺寸顯著增大,因此相比與 TSC 復合材料,其 Orowan 強化效果降低,材料的強度性能弱化。此外,團聚體內部顆粒的結合強度相對顆粒 - 基體結合更低,并且團聚顆粒與基體接觸面積小于彌散顆粒的接觸面積,界面處載荷傳遞效率低,進一步降低了連續分布顆粒 (團聚體) 的強化作用,因此 SC 組復合材料的強度明顯低于 TSC 組復合材料。值得注意的是,SC 組復合材料中,隨著 TiC 顆粒 - Ti₅Si₃顆粒比例的改變,材料的強度值變化不明顯,與 TSC 組的情況進行對比,可以進一步說明團聚顆粒發揮的強化作用很低。因此可以認為,增強顆粒呈不連續分布的構型,對復合材料的強度是有利的,在此基礎上,降低顆粒的直徑,有利于強化作用的提高。
鈦基復合材料的塑性主要由較軟的基體提供,在室溫壓縮變形過程中復合材料的塑性變形能力受到材料成分、組織結構等的影響,同時與增強顆粒的尺寸、形貌、分布特征等顆粒特征有關。對比 TSC 組與 SC 組試樣在室溫壓縮實驗中的塑性變形能力,可以明顯看出 SC 組試樣室溫壓縮塑性更好,表現出更大的斷裂應變。與 TSC 組試樣的室溫塑性相比,SC 組塑性更加優異,超過前者 4% 左右 (TSC 組燒結態試樣的斷裂應變在 20% 左右,SC 組燒結態試樣的斷裂應變在 24% 左右), 這是由于復合材料的塑性變形主要由金屬基體中的位錯滑移引起,只有保留充足的位錯運動空間才能使復合材料表現出良好的延展性與塑性。從 SC 組試樣的微觀組織圖中可看出,連續分布的微米 TiC 與 Ti₅Si₃構成準連續網狀結構,在復合材料中劃分出明顯的增強相富集區 (硬相區) 與增強相貧化區 (軟相區), 為位錯滑移提供充足的空間,并保證了單個位錯遷移率,因而 SC 組復合材料表現出良好的延展性與塑性。而 TSC 組燒結態試樣中蠕蟲狀 Ti₅Si₃顆粒主要分布于晶內,在對基體形成強化的同時,不可避免的導致了變形過程中位錯平均自由程大大減少,甚至使得復合材料塑性下降、脆性增加,因此 TSC 復合材料的室溫塑性不如 SC 復合材料。通過以上對比分析,可以說明非均勻構型所劃分出的 "貧增強相" 區域對復合材料的塑韌性有明顯的積極作用。
3、結論
(1) 借助不同前驅體的原位反應特點,分別利用 Ti₃SiC₂+Si 以及 Si + 石墨前驅體設計制備出兩種類型 (TiC+Ti₅Si₃)/Ti 復合材料,前者增強顆粒呈近彌散均勻分布構型,后者呈連續非均勻分布構型。(2) 彌散非連續顆粒的強化作用更為突出,以 Ti₃SiC₂+Si 為前驅體制備的 (TiC+Ti₅Si₃)/Ti 復合材料,室溫壓縮屈服強度達到了 1790~1915 MPa; 以 Si + 石墨為前驅體制備的 (TiC+Ti₅Si₃)/Ti 復合材料屈服強度僅為 805~888 MPa。均勻構型的強化作用可歸因于彌散分布顆粒的 Orowan 強化機理。(3) 非均勻構型所劃分出的 "貧增強相" 區域具有顯著的韌化作用,以 Si + 石墨為前驅體制備的 (TiC+Ti₅Si₃)/Ti 復合材料室溫壓縮斷裂應變達到了 24%~26%, 而以 Ti₃SiC₂+Si 為前驅體制備的 (TiC+Ti₅Si₃)/Ti 復合材料僅為 18%~21%。非均勻構型的韌化作用可以歸因于增強相含量低的基體局部區域為位錯滑移提供了充足的空間。
參考文獻
[1] ZHANG X S, CHEN Y J,HU J L. Recent advances in the development of aerospace materials [J]. Progress in Aerospace Sciences, 2018,97:22-34.
[2] 魏子超,韓遠飛,李劭鵬,黃光法,毛建偉,呂維潔。非連續納米相增強鈦基復合材料研究進展與展望 [J]. 航空制造技術,2022,65 (16):104-125. WEI Z C, HAN Y F, LI S P, HUANG G F, MAO J W, LYU W J. Research progress and development tendency of discontinuously nano-reinforced titanium matrix composites [J]. Aeronautical Manufacturing Technology, 2022,65 (16):104-125.
[3] ZHOU Z G, LIU Y Z,LIU X H, ZHAN Q K, WANG K D. Microstructure evolution and mechanical properties of in-situ Ti6Al4V-TiB composites manufactured by selective laser melting [J]. Composites Part B: Engineering, 2021, 207:108567.
[4] FANG M H,HAN Y F, SHI Z S, HUANG G F, SONG J W,LU W J. Embedding boron into Ti powder for direct laser deposited titanium matrix composite: Microstructure evolution and the role of nano-TiB network structure [J]. Composites Part B: Engineering, 2021,211:108683.
[5] YAN Q, CHEN B, LI J S. Super-high-strength graphene-titanium composites at ambient temperature [J]. Carbon, 2020,174:451-462.
[6] YAN Q, CHEN B, CAO L, LIU K Y, LI S, JIA L, KONDOH K,LI J S. Improved mechanical properties in titanium matrix composites reinforced with quasi-continuously networked graphene nanosheets and in-situ formed carbides [J]. Journal of Materials Science & Technology, 2022, 96:85-93.
[7] XU Y, LIU Z,ZHU X H,JIANG Z L, CHEN H, WANG N. Effect of rare earth Ce addition on microstructure and mechanical properties of titanium alloy Ti-6Al-4V [J]. Materials Letters, 2023, 330:133244.
[8] ZHANG Z Q, YANG Q,YU Z M, ZHANG T G,JING J N. Microstructure and performance of Ti-based wear-resistant laser cladding coatings with rare-earth oxides [J]. Materials Letters, 2023, 350:134856.
[9] LI Q, HUANG S, ZHAO Y K,GAO Y M, RAMAMURTY U. Simultaneous enhancements of strength, ductility, and toughness in a TiB reinforced titanium matrix composite [J]. Acta Materialia, 2023,254:118995.
[10] LI S P, WANG X Y, WEI Z C, HAN Y F, SHI H G, LE J W, HUANG G F, ZHANG D, LU W J. Simultaneously improving the strength and ductility of the as-sintered (TiB+La₂O₃)/Ti composites by in-situ planting ultra-fine networks into the composite powder [J]. Scripta Materialia, 2022, 218:114835.
[11] LI J X, HAN Y F, YANG D Y, MAO J W. Effect of heat treatment on creep properties of directed energy deposited Ti-6Al-4V alloy [J]. Frontiers in Materials, 2019,6:276.
[12] LI Q,HUANG S, GAO Y M, RAMAMURTY U. Deformation, fracture, and fatigue crack growth behavior in TiB-reinforced near-α Ti matrix composites fabricated using powder metallurgy technique [J]. Materials Science and Engineering: A, 2024,916: 147351.
[13] HUANG X Y, GAO Y M, YI Y Y, XIAO P, JIAN Y X, WANG Y R, ZHAO S Y,LIU Q K, REN Z J. Microstructure evolution mechanisms and strength improvement of (6.5 vol% TiC+3.3 vol% Ti₅Si₃)/Ti6Al4V composites via heat treatment [J]. Materials Science and Engineering: A, 2021,805:140581.
[14] HUANG X Y, GAO Y M, WANG Z P, YI Y L, WANG Y R. Microstructure, mechanical properties and strengthening mechanisms of in-situ prepared TiC/Ti6Al4V composites [J]. Journal of Alloys and Compounds, 2019, 792:907-917.
[15] GU W L,ZHOU Y C. Reactions between Ti and Ti₃SiC₂ in temperature range of 1273-1573 K [J]. Transactions of Nonferrous Metals Society of China, 2006, 16 (6):1281-1288.
[16] ZHOU Y C, SUN Z M. Crystallographic relation between Ti₃SiC₂ and TiC [J]. Materials Research Innovations, 2000,3 (5):286-291.
[17] TONG X C,FANG H S. Al-TiC composites via stupreheating ingot metallurgy and rapid solidification technology: Part I. Microstructural evolution [J]. Metallurgical and Materials Transactions A, 1998,29:875-891.
[18] CHOI Y,RHEE S W. Effect of carbon sources on the combustion synthesis of TiC [J]. Journal of Materials Science, 1995, 30:4637-4644.
[19] MA K K, WEN H M, HU T, TOPPING T D, ISHEIM D, SEIDMAN D N, LAVERNIA E J, SCHOENUNG J M. Mechanical behavior and strengthening mechanisms in ultrafine grain precipitation-strengthened aluminum alloy [J]. Acta Materialia, 2014,62:141-155.
[20] CLYNE T W. An introduction to metal matrix composites [M]. Cambridge: Cambridge University Press, 1993.
[21] HUANG L J, WANG S, DONG Y S, ZHANG Y Z, PAN F, GENG L, PENG H X. Tailoring a novel network reinforcement architecture exploiting superior tensile properties of in-situ TiB/Ti composites [J]. Materials Science and Engineering: A, 2011,545:187-193.
(注,原文標題:鈦基復合材料增強相分布構型對其力學性能的影響研究)
tag標簽:鈦基復合材料,航空航天材料,構型-性能關聯,前驅體遺傳效應,增強相分布,強韌化機制解耦


